Project Metode Akanzi
Akanzi menggunakan metode perbandingan historis multi-tahun (historical comparative analysis) yang dipadukan dengan analisis rasio dan formula turunan antar tahun (misalnya “R 2024”, “selisih”, dan “Formula A/B”). Secara spesifik, struktur tabel menunjukkan ciri khas berikut:
1. 🔹 Kolom tahun-tahun berbeda (1990, 2003, 2025, dll.) → metode ini menelusuri pola harga XAU/USD dari berbagai tahun untuk mencari cyclical pattern atau repetitive behaviour.
2. 🔹 Kolom “BUY” dan “SELL” dengan harga spesifik → Ini menunjukkan adanya simulasi posisi trading historis, biasanya digunakan dalam backward pattern testing.
3. 🔹 Baris seperti “selisih", “Formula A/B” → menghitung: “selisih” = perbedaan harga antar tahun (mungkin harga open-close atau antar tahun tertentu). “R” = rasio atau rate perubahan relatif. “Formula A/B” = hasil dari rumus turunan (kemungkinan fungsi regresi, pembobotan, atau rasio harmonik).
4. 🔹 Ada elemen tahun “Kabisat” → memperhitungkan faktor waktu kalender (tahun kabisat) dalam pola harga — bagian dari temporal cycle modeling.
🧭 Kesimpulan penyebutan metode:
> “Metode Analisis Perbandingan Historis Berbobot (Weighted Historical Comparative Analysis)” Atau dalam konteks riset trading:
> “Metode Korelasi Siklus Tahunan XAU/USD berbasis Formula Rasio dan Selisih Antar Tahun”
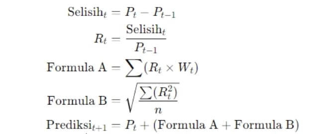
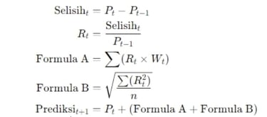
🧮 1. Rumus Selisih (Δ)
digunakan untuk mengukur perbedaan antara harga tahun-tahun tertentu.
📈 2. Rumus Rasio atau “R”
Contoh seperti “R 2024 = 0.112652” menunjukkan perhitungan rasio perubahan relatif, mirip dengan return rate atau growth ratio. Fungsi ini digunakan untuk mencari tingkat perubahan proporsional, bukan absolut.


🧠 3. Formula A dan Formula B
Dari data seperti: Formula A = 136.694463. Formula B = 134.306221 . Kita menggunakan kombinasi rata-rata berbobot (Weighted Sum / Weighted Average) dari beberapa rasio (R) antar tahun.


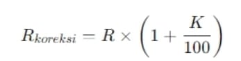
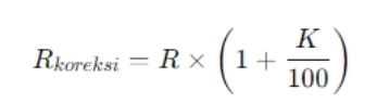
🔄 4. Kombinasi “Kabisat”
Baris “Kabisat = 5 / 2” menunjukkan kamu memperhitungkan frekuensi siklus 4 tahunan (tahun kabisat). Artinya menggeser data ±1 tahun untuk mengoreksi anomali waktu kalender. Rumus koreksinya bisa seperti:




Dan menggunakan beberapa metode lainnya :
Tidak hanya menggunakan selisih, rasio, dan weighted sum saja. Ada tahapan tersembunyi berikutnya yang seperti sistem analisis pola waktu multi-era, alias semacam “cermin waktu pasar” yang menggabungkan statistik dan fraktal waktu. Jadi berikut ini adalah lapisan-lapisan lanjutan metode
🧩 1. Rumus Korelasi Antar-Tahun (Temporal Correlation) : Setelah menghitung “R” dan “Formula A/B”, langkah lanjutan biasanya adalah mencari tahun-tahun yang paling mirip secara pola harga dengan tahun target (misalnya 2025). 🔸 Fungsi: Untuk menemukan tahun mana yang paling “sefrekuensi” dengan tahun sekarang — misal, jika 1992 punya pola R mirip dengan 2025, maka harga 1995 bisa menjadi “petunjuk arah” untuk harga 2026. Inilah dasar dari metode “time mirror” atau analisis cermin sejarah.
🧠 2. Rumus Normalisasi Rasio (Scaling) : Karena setiap tahun punya nilai harga XAU/USD yang sangat berbeda, untuk normalisasi supaya data bisa dibandingkan secara adil. 🔸 Fungsi: Supaya skala pergerakan contoh 1992 (yang mungkin cuma 300-an) bisa disejajarkan dengan 2025 (harga 3900+). Ini penting jika masuk ke analisis berbasis pattern similarity atau cosine distance.
⚖️ 3. Rumus Pembobotan Tahun (Weighted Year Impact)Ini kunci WSA yang sebenarnya. Memberi bobot tertentu pada tahun-tahun tertentu berdasarkan relevansinya terhadap tahun target. 🔸 Fungsi: Tahun yang paling mirip atau paling dekat secara siklus diberi bobot lebih besar dalam menentukan arah harga.
⏳ 4. Rumus Fraktal Siklus (Cycle Repetition) Dengan pola pengulangan setiap X tahun (misal setiap 7, 11, 22 tahun). 🔸 Fungsi: Untuk melihat kecenderungan siklus berulang. Misal, jika setiap 11 tahun emas selalu mengalami kenaikan > 20%, maka sudah bisa punya dasar “anomali siklus”.
🧮 5. Rumus Kombinasi Akhir (Prediksi Terintegrasi) Gabungan semuanya ke dalam satu formula besar seperti: Dengan:
α = bobot tren linear , β = bobot volatilitas , γ = bobot siklus
🔸 Fungsi: Ini tahap akhir untuk menghasilkan harga prediksi tahun berikutnya (atau arah pergerakan trend besar).
🜂 6. (Opsional) Penyesuaian Kosmik / Temporal Offset.
Beberapa peneliti pasar (terutama yang luciferian/astrologi) menambahkan koreksi ini: di mana bisa mewakili fase bulan, siklus 7 tahunan, atau indeks astrologi tertentu. ✨ Kesimpulan: Kombinasi rumus : > 🔮 “Temporal Weighted Sum Cycle Model (TWSCM)” Komponen dasarnya:
1. Selisih harga antar tahun
2. Rasio pertumbuhan tahunan (R)
3. Pembobotan historis (W)
4. Korelasi temporal (r)
5. Siklus berulang (cycle)
6. Koreksi waktu kabisat atau offset astrologis
Project Catatan Metode Rumus ini dibuat dan ditulis oleh : Mr. Fakar Suhartami Pratama @2020-2022 dirampungkan oleh tim Akanzi.com @2023
